반응형

두산위브더제니스 센트럴 원주 공고문이 드디어 떴씁니다.
1,167세대 브랜드 대단지라 인기가 많을 것 같은데
몇가지 요약하자면
평당 분양가는 1200 ~ 1300정도로 보입니다.
국평기준으로 4.5억 정도... 중도금 유이자...
이제 원주에서도 4억 미만은 찾기 어렵겠네요
중도금은 1차 무이자, 나머지 유이자입니다.
발코피 확장까지하면 4.5억......
24평도 3억이 넘네요 3억 중반?
앞으로 원주에 자이 힐스테이트 이편한 등 많은 아파트가
기다리고 있는데 가격대가 만만치 않을것같습니다.


| 공급위치 | 강원도 원주시 원동 129-1번지 일원 |
| 공급규모 | 952세대 |
| 입주자모집공고 관련 문의 | 사업주체 또는 분양사무실로 문의 |
| 문의처 | ☎ 1533-3620 |
약일정
입주자모집공고 청약일정모집공고일청약접수당첨자 발표일계약일
| 2022-08-11 (아시아경제) | |||
| 구분 | 해당지역 | 기타지역 | 접수장소 |
| 특별공급 | 2022-08-22 | 2022-08-22 | 인터넷 |
| 1순위 | 2022-08-23 | 2022-08-23 | 인터넷 |
| 2순위 | 2022-08-24 | 2022-08-24 | 인터넷 |
| 2022-08-30 ( http://두산위브더제니스원주.com ) | |||
| 2022-09-13 ~ 2022-09-16 | |||
- * 특이사항 : 정비사업
- * 특별공급 종류에 따라 접수기간 및 장소가 다를 수 있으니 모집공고를 반드시 확인하시기 바랍니다.
공급대상
입주자모집공고 공급대상주택구분주택형주택공급면적(주거전용+주거공용)공급세대수주택관리번호(모델번호)일반특별계
| 민영 | 059.9314A | 80.2268 | 29 | 27 | 56 | 2022000524(01) |
| 059.7799B | 80.8920 | 9 | 6 | 15 | 2022000524(02) | |
| 074.9472A | 99.1979 | 62 | 68 | 130 | 2022000524(03) | |
| 074.9101B | 99.6356 | 23 | 21 | 44 | 2022000524(04) | |
| 084.9365A | 111.9194 | 229 | 250 | 479 | 2022000524(05) | |
| 084.7994B | 112.0827 | 111 | 117 | 228 | 2022000524(06) | |
| 계 | 463 | 489 | 952 | |||
특별공급 공급대상
단위 (세대)
입주자모집공고 특별공급 공급대상주택형공급세대수다자녀가구신혼부부생애최초노부모 부양기관추천이전기관기타계| 059.9314A | 5 | 11 | 5 | 1 | 5 | 0 | 0 | 27 |
| 059.7799B | 1 | 3 | 1 | 0 | 1 | 0 | 0 | 6 |
| 074.9472A | 13 | 26 | 13 | 3 | 13 | 0 | 0 | 68 |
| 074.9101B | 4 | 8 | 4 | 1 | 4 | 0 | 0 | 21 |
| 084.9365A | 47 | 95 | 47 | 14 | 47 | 0 | 0 | 250 |
| 084.7994B | 22 | 45 | 22 | 6 | 22 | 0 | 0 | 117 |
- * 공급세대수는 사업주체의 최초 입주자모집 공고문 기준입니다. 특별공급 신청 미달 시 잔여물량은 일반공급으로 전환됨에따라 일반공급 세대 수가 변경될 수 있으므로 최종 일반공급 세대수는 일반공급 신청일에 '청약접수 경쟁률'에서 확인 또는 사업주체에 문의하시기 바랍니다.
- * 주택형=주거전용면적(type이 있는 경우 type포함)
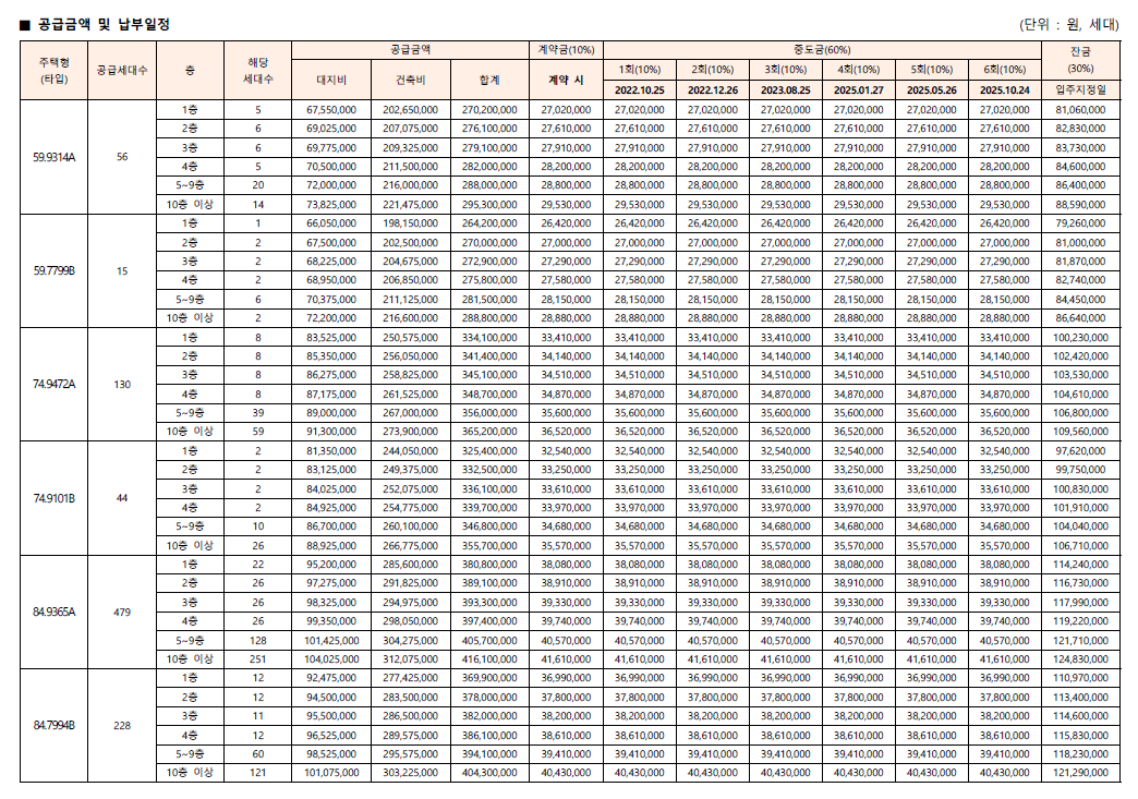
공급금액, 2순위 청약금 및 입주예정월
공급금액(단위:만원)
공급금액, 2순위 청약금주택형공급금액(최고가 기준)2순위 청약금
| 059.9314A | 29,530 | 청약통장으로 청약(청약금 없음) |
| 059.7799B | 28,880 | |
| 074.9472A | 36,520 | |
| 074.9101B | 35,570 | |
| 084.9365A | 41,610 | |
| 084.7994B | 40,430 |
- * 입주예정월 : 2026.03
- * 층별(동호수별) 세부 공급금액은 사업주체의 입주자모집 공고문을 참고하시기 바랍니다.
기타사항 입주자모집공고 기타사항 시행사 시공사 사업주체 전화번호 원동남산지구 주택재개발정비사업조합 두산건설 주식회사 1533-3620 * 시행사 및 시공사가 여러 업체인 경우 한 업체만 표시됩니다. * 기타 자세한 모집공고문 내용은 2022-08-11 (아시아경제)에 게시된 내용을 참고하시기 바랍니다.
반응형
'알아두기 > 유익한 정보' 카테고리의 다른 글
| [산재보험] 산재환자 상급병실(1인실) 혜택 (0) | 2022.08.12 |
|---|---|
| [산재보험] 산재환자 상급병실 혜택(2인실부터 가능합니다!) (0) | 2022.08.12 |
| 통큰치킨 부활한다(당당치킨) (0) | 2022.08.08 |
| 2022년도 제22회 공인중개사 자격 시험정보 (0) | 2022.08.08 |
| 9월에 한국 애플페이 정식 출시(현대카드) (1) | 2022.08.08 |
댓글